资料阅览化学初中化学

九年级教学设计第五单元化学方程式 课题3 利用化学方程式的简单计算

发布者微信
  • 发布时间:2008-11-24 08:10:00
  • 发布者:吾爱
  • 微信号:wuaiyazhu.
  • 浏览量:
  • Tags:
  •   公告:

    

学习目标:

1.在正确书写化学方程式的基础上,进行简单计算。
2
.认识定量研究对于化学科学发展的重大作用。
3
.正确使用量和单位。

教学重点:

有关化学方程式的计算

教学难点:

化学方程式的计算

教学过程:

 

1.根据化学方程式计算的步骤

1)设:根据题意设未知数;

2)写:书写正确的化学方程式;

3)找:找出已知量和未知量的质量关系;

4)列:列出比例式并求解;

5)答:检查结果,简明作答。

2.根据化学方程式计算应该注意的事项

1)正确书写化学方程式,准确列出有关反应物或生成物的质量比;

2)列式时,各物质的质量单位必须统一,对应关系要正确;

3)反应物、生成物都必须是纯净物,如果是混合物,应该不纯物的质量按题意转化为纯净物的质量;

4)解题的过程要完整,规范

5)设未知数是要指明物理量,不要带单位。

例题:某实验室中需要1.6g氧气进行实验。若用电解水的方法制取这些氧气,需要消耗水多少克?同时可生成氢气多少克?

解:设消耗水的质量为x,得到氢气的质量为y

2H2O通电===2H2+O2

36     4    32

x      y    1.6g

x=1.8gy=0.2g

答:电解消耗1.8g水,同时生成0.2g氢气。

常见题型

1.利用质量守恒定律的相关信息,如何求反应物的质量及相互质量比?

1 已知在反应3A+2B=2C+D中,反应物AB的质量比为34。当反应生成CD的质量共140g时,B消耗的质量为_________g

分析:此题能根据质量守恒定律,由于生成物CD的质量共140g,所以AB的质量之和也应为140g。由于反应物AB的质量比为34,则可将物质总质量视为7份(3+4=7),A占其中3份,B占其中4份。所以消耗B的质量为140÷7×480g

2 在化学反应3X+4Y=2Z中,已知XZ的相对分子质量分别是32102,则Y的相对分子质量为_____

分析:此题是根据质量守恒定律确定Y的相对分子质量。解题时,首先要确定4Y的值,即3×324Y2×102  4Y2×1023×32108  Y27

2.已知反应物(或生成物)的质量(或密度、体积),如何求另一反应物(或生成物)的质量(或体积)?

3 中国登山协会为纪念我们首次攀登珠穆朗玛峰成功50周年,再次组织攀登珠峰活动。阿旺扎西等一行登山运动员于20035211340成功登顶。假如每位运动员冲顶时消耗自带的液氧4.8g。求:

1)这些氧气在标准状况下的体积是多少升?(标准状况下氧气密度为1.43g/L

2)若在实验室用高锰酸钾为原料制取相同质量的氧气,需要多少千克的高锰酸钾?

3)用这种方法给登山运动员供氧,是否可行?简述理由。

答:14.8kg氧气在标准状况下的体积为

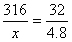
2)设需要高锰酸钾的质量的质量为x

     2KMnO4 △=== K2MnO4 + MnO2 + O2

       316                      32

        x                      4.8kg

           

3)不行。此法成本太高,经济上不合算;或在实验室制如此多氧气,耗时太长。

分析:此题难度不高,主要考查学生有关化学方程式计算的两个重要的注意点:1.气体体积和气体质量的换算(即气体体积=气体质量÷气体密度);

2.化学方程式中单位的换算,如题目中出现“kg”与“g”之间的换算。此题中不仅仅是一道有知识背景的简单计算,还考查了学生仔物质制备时是否考虑原料成本和反应时间的因素。

  

[1] [2]  下一页